Image Details

Choose export citation format:

iSTARMOD: A Python Code to Quantify Chromospheric Activity by Using the Spectral Subtraction Technique

  • Authors: Fernando Labarga, David Montes

Fernando Labarga and David Montes 2026 The Astronomical Journal 171 .

  • Provider: AAS Journals

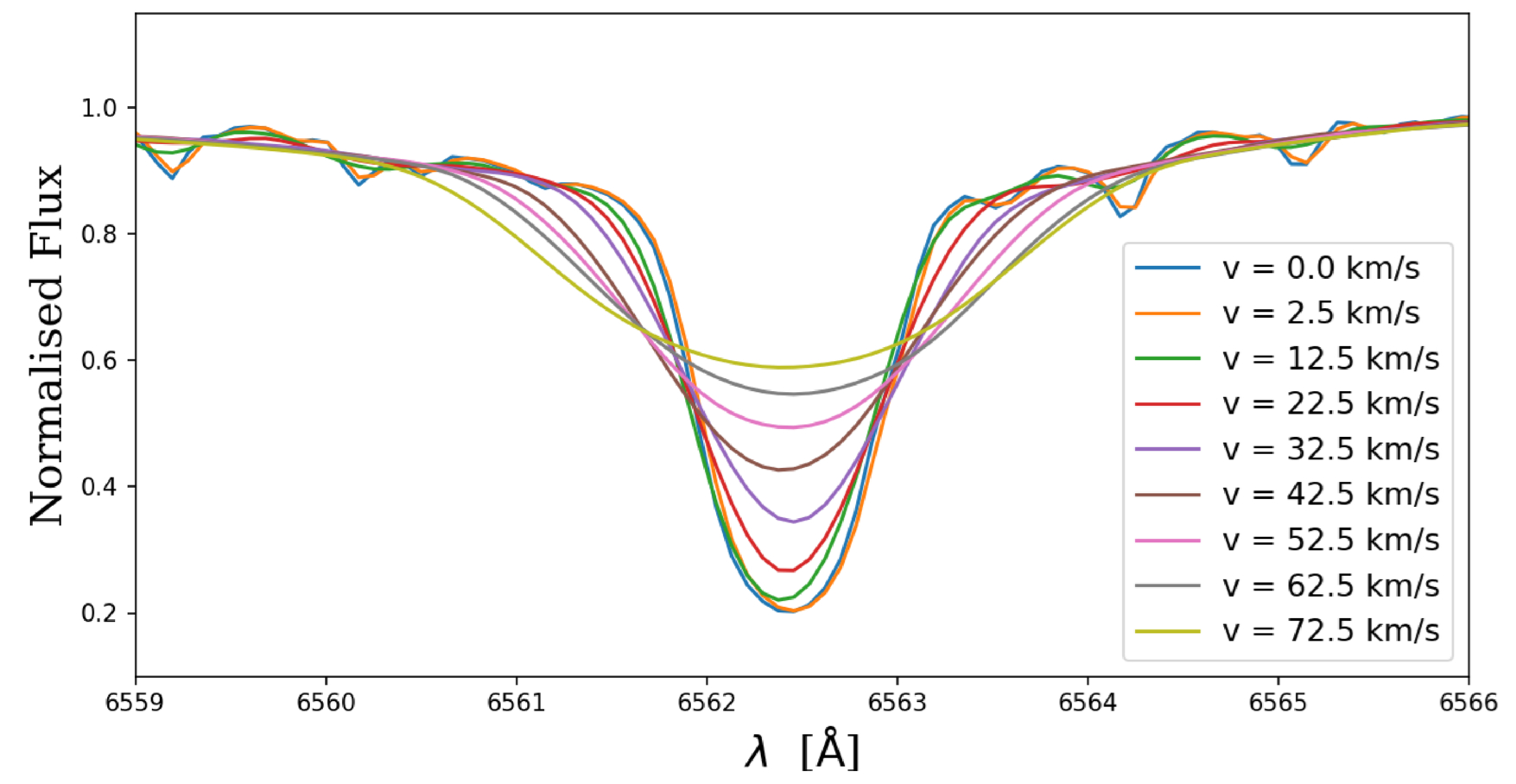
Caption: Figure 2.

Synthetic line profiles with varying rotational velocities (vsini). The iSTARMOD code has been applied to an example Hα absorption line, taken from a quiescent K2V star. Note that minor and noisy features of the intrinsic profile are erased for v > 10 km s−1.

Other Images in This Article
Copyright and Terms & Conditions

Additional terms of reuse