Image Details

Choose export citation format:

iSTARMOD: A Python Code to Quantify Chromospheric Activity by Using the Spectral Subtraction Technique

  • Authors: Fernando Labarga, David Montes

Fernando Labarga and David Montes 2026 The Astronomical Journal 171 .

  • Provider: AAS Journals

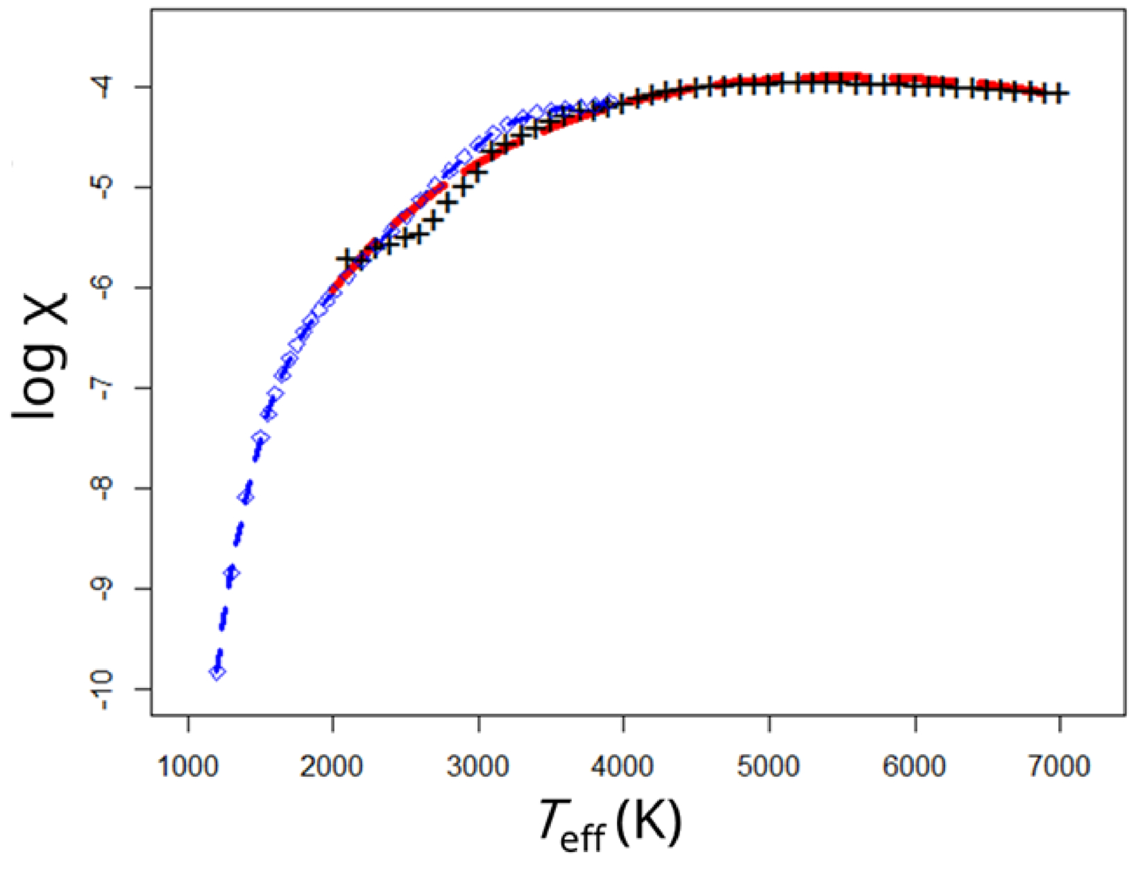
Caption: Figure 4.

Comparison between the polynomial fit provided in A. Reiners & G. Basri (2008; blue) in the range [1200, 4000] and in the calculations of this paper (red), in the range [2000, 7000]. The points obtained from the set of synthetic spectra are shown by the black plus signs.

Other Images in This Article
Copyright and Terms & Conditions

Additional terms of reuse