Image Details

Choose export citation format:

Methanol Emission Tracing Ice Chemistry and Dust Evolution in the TW Hya Protoplanetary Disk

  • Authors: John D. Ilee, Catherine Walsh, Jenny K. Calahan

John D. Ilee et al 2026 The Astronomical Journal 171 .

  • Provider: AAS Journals

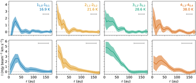
Caption: Figure 2.

Radial profiles of emission for the detected methanol (CH3OH) transitions. The upper panels show the 0﹩\mathop{.}\limits^{^{\prime\prime} }﹩4 observations, while the lower panels show the 0﹩\mathop{.}\limits^{^{\prime\prime} }﹩7 observations. Transitions are labeled with Eu, shaded regions indicate 1σ uncertainties, and the beam FWHM is shown with a horizontal bar.

Other Images in This Article

Show More

Copyright and Terms & Conditions

Additional terms of reuse