Image Details

Choose export citation format:

Methanol Emission Tracing Ice Chemistry and Dust Evolution in the TW Hya Protoplanetary Disk

  • Authors: John D. Ilee, Catherine Walsh, Jenny K. Calahan

John D. Ilee et al 2026 The Astronomical Journal 171 .

  • Provider: AAS Journals

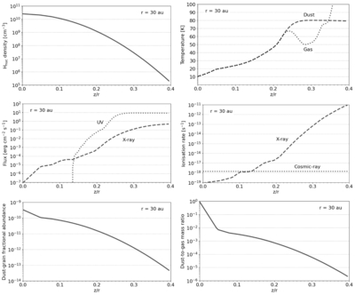
Caption: Figure 5.

Physical conditions across a vertical slice of TW Hya at a radius of 30 au (model results from J. K. Calahan et al. 2021). Shown are the Hnuc density (top left), gas (dotted) and dust (dashed) temperature (top right), UV (dotted) and X-ray (dashed) flux (middle left), cosmic-ray (dotted) and X-ray (dashed) ionization rate (middle right), dust-grain fractional abundance (bottom left) and dust-to-gas mass ratio (bottom right), all as a function of z/r (i.e., height divided by radius).

Other Images in This Article

Show More

Copyright and Terms & Conditions

Additional terms of reuse