Image Details

Choose export citation format:

TrES-1 b: A Case Study in Detecting Secular Evolution of Exoplanet Orbits

  • Authors: Simone R. Hagey, Billy Edwards, Angelos Tsiaras, Aaron C. Boley, Anastasia Kokori, Norio Narita, Pedro V. Sada, Filip Walter, Robert T. Zellem, Napaporn A-thano, Kevin B. Alton, Miguel Ángel Álava Amat, Paul Benni, Emmanuel Besson, Patrick Brandebourg, Marc Bretton, Mauro Caló, Martin Valentine Crow, Jean-Christophe Dalouzy, Marc Deldem, Tõnis Eenmäe, Stephane Ferratfiat, Pere Guerra, Gary Vander Haagen, Ken Hose, Adrian Jones, Yves Jongen, Didier Laloum, Stefano Lora, Alessandro Marchini, Jacques Michelet, Matej Mihelčič, Johannes Mieglitz, Eric Miny, David Molina, Mario Morales Aimar, Raphael Nicollerat, Ivo Peretto, Manfred Raetz, François Regembal, Robert Roth, Lionel Rousselot, Mark Salisbury, Darryl Sergison, Anaël Wünsche, Jaroslav Trnka

Simone R. Hagey et al 2025 The Astronomical Journal 170 .

  • Provider: AAS Journals

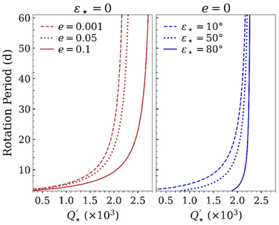
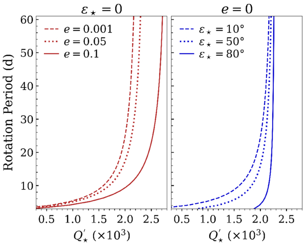
Caption: Figure 9.

Stellar rotation period as a function of the modified stellar quality factor, ﹩{Q}_{\star }^{{\prime} }﹩, for a scenario in which stellar tides drive orbital decay at a rate of −7.1 ms yr−1. The calculations use the exact expression for decay due to tides in the star (Equation (A1)) for different combinations of stellar obliquity (ε) and orbital eccentricity (e). There is no parameter space in which ﹩{Q}_{\star }^{{\prime} }﹩ falls within the empirically expected range of ﹩1{0}^{5}\lt {Q}_{\star }^{{\prime} }\lt 1{0}^{8}﹩ (K. Penev et al. 2018). Left: the required ﹩{Q}_{\star }^{{\prime} }﹩ for different eccentricities when the stellar obliquity is zero. Right: the required ﹩{Q}_{\star }^{{\prime} }﹩ for different obliquities when the orbital eccentricity is zero.

Other Images in This Article

Show More

Copyright and Terms & Conditions

Additional terms of reuse