Image Details

Choose export citation format:

Semiempirical versus Theoretical Stellar Population Models: A Comparison with Star Clusters

  • Authors: Randa Asa'd, Paula R. T. Coelho, Johina M. John, Igor V. Chilingarian, Gustavo Bruzual, Stephane Charlot

Randa Asa’d et al 2025 The Astronomical Journal 170 .

  • Provider: AAS Journals

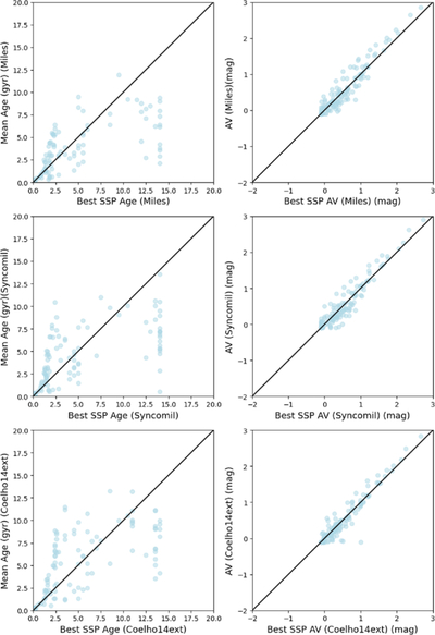
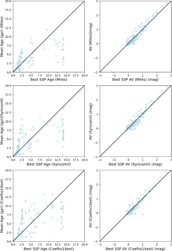
Caption: Figure 5.

Comparison of LWA and Av from the multipopulation fits with the age and Av from the single SSP fits.

Other Images in This Article
Copyright and Terms & Conditions

Additional terms of reuse