Image Details

Choose export citation format:

Inferring Solar Differential Rotation through Normal-mode Coupling Using Bayesian Statistics

  • Authors: Samarth G. Kashyap, Srijan Bharati Das, Shravan M. Hanasoge, Martin F. Woodard, and Jeroen Tromp

2021 The Astrophysical Journal Supplement Series 253 47.

  • Provider: AAS Journals

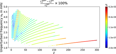
Caption: Figure 9.

The relative offset of ﹩{L}_{2}^{\mathrm{QDPT}}﹩ as compared to that of ﹩{L}_{2}^{\mathrm{DPT}}﹩ (see Equations [30, 31]) under the perturbation of an axisymmetric differential rotation Ω(r, θ) as observed in the Sun. An increase in intensity of the color scale indicates worsening of the isolated-multiplet approximation. The measures of offset are plotted for the HMI-resolved multiplets shown in Figure 3.

Other Images in This Article
Copyright and Terms & Conditions