Image Details

Choose export citation format:

A New Approach to Constrain Black Hole Spins in Active Galaxies Using Optical Reverberation Mapping

  • Authors: Jian-Min Wang, Pu Du, Yan-Rong Li, Luis C. Ho, Chen Hu, and Jin-Ming Bai

Wang et al. 2014 The Astrophysical Journal Letters 792 L13.

  • Provider: AAS Journals

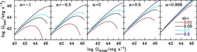
Caption: Figure 3.

Relation between the hydrogen ionizing luminosity and the luminosity at 5100 Å. Panels from left to right are for different values of BH spin, from a = −1.0 to a = 0.998. Each panel plots four color lines for different accretion rates. Given and a, L5100 is a function of the BH mass.

Other Images in This Article
Copyright and Terms & Conditions