Image Details

Choose export citation format:

A New Approach to Constrain Black Hole Spins in Active Galaxies Using Optical Reverberation Mapping

  • Authors: Jian-Min Wang, Pu Du, Yan-Rong Li, Luis C. Ho, Chen Hu, and Jin-Ming Bai

Wang et al. 2014 The Astrophysical Journal Letters 792 L13.

  • Provider: AAS Journals

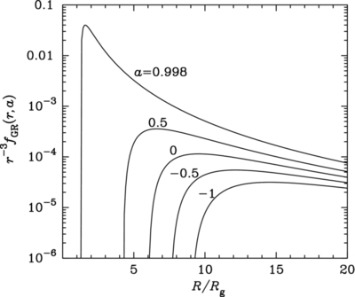
Caption: Figure 1.

Function , for a = 0.998 to a = −1. Two characteristics can be seen: (1) the last stable inner radii are different for a = 0.998 and a = −1, and hence the total dissipated energy and SED are very different; (2) the function tends to r−3 when r → ∞, which leads to similar optical radiation (e.g., at 5100 Å) for a = ±1.

Other Images in This Article
Copyright and Terms & Conditions