Image Details

Choose export citation format:

A New Approach to Constrain Black Hole Spins in Active Galaxies Using Optical Reverberation Mapping

  • Authors: Jian-Min Wang, Pu Du, Yan-Rong Li, Luis C. Ho, Chen Hu, and Jin-Ming Bai

Wang et al. 2014 The Astrophysical Journal Letters 792 L13.

  • Provider: AAS Journals

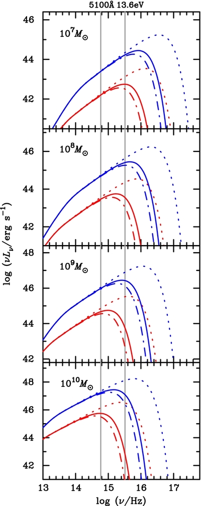
Caption: Figure 2.

SEDs of accretion disks and their dependence on BH mass, accretion rate, and BH spin. The blue and red curves are for and 0.01, and the dashed-dotted, solid, and dotted lines are for spin a = −1, 0, and 0.998, respectively. The two gray vertical lines mark 5100 Å  and 13.6 eV.

Other Images in This Article
Copyright and Terms & Conditions