Image Details
 
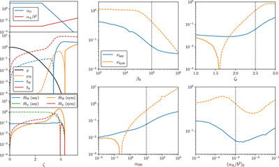
                    Caption: Figure 7.
Left column illustrates the model for reference with the setup in Section 5.1, showing the diffusivity profiles (upper panel), the steady-state solution (middle panel), and the perturbation modes (lower panel). The growth rates are ν sym = −0.10 and ν asy = 0.035. Right two columns present the dependence of ν sym (orange lines) and ν asy (blue lines) on different parameters: β 0, ζ t , α O0, and ﹩{\left({\alpha }_{{\rm{A}}}/{b}^{2}\right)}_{0}﹩ (see Section 5.2). Note that negative values are shown in dashed lines. The vertical dotted lines are plotted in each panel, indicating the value taken by the reference model.
© 2024. The Author(s). Published by the American Astronomical Society.