Image Details
 
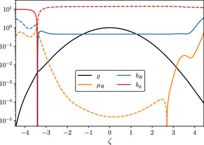
                    Caption: Figure 6.
Similar to the lower row of Figure 3, but showing a nonsymmetric solution using the diffusivity profiles at R = 1 au as an example. Colors distinguish different physical quantities, while the line shapes indicate the signs (solid for positive, dashed for negative).
© 2024. The Author(s). Published by the American Astronomical Society.