Image Details
 
                    Caption: Figure 5.
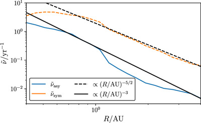
Dimensional growth rates of antisymmetric (﹩{\tilde{\nu }}_{\mathrm{asy}}﹩) and symmetric (﹩{\tilde{\nu }}_{\mathrm{sym}}﹩) modes (dashed line for negative values), for the fiducial model through the range of disk radius 0.4 < (R/au) < 4. Note that ﹩{\tilde{\nu }}_{\mathrm{sym}}\lt 0﹩ holds for all radii. The lines indicating the R −5/2 and R −3 power laws are also presented for comparison.
© 2024. The Author(s). Published by the American Astronomical Society.