Image Details
 
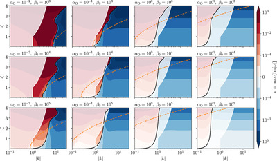
                    Caption: Figure 2.
Local-mode growth rates (﹩\nu \equiv \max \{\mathrm{Im}[\omega ]\}﹩) assuming constant diffusivities, showing the distribution in the space spanned by the modulus of dimensionless wavenumber ∣k∣ and the dimensionless altitude ζ (Section 3.2). The colormaps are in symmetric logarithmic scales: red for positive ν, and blue for negative ν, separated by solid black curves indicating the ν = 0 contours. Dashed curves in orange indicate the limiting critical wavenumber ﹩k={\left(3\xi \right)}^{1/2}/{\alpha }_{{\rm{O}}}﹩ derived in Sano & Miyama (1999) for the weakly ionized disk with magnetic Reynolds number R m ≪ 1. The dimensionless diffusivity α O and the plasma β of models are presented to the upper left of each panel. The shaded regions on the upper left side of the white solid curves mark the regions where ﹩k\leqslant {\partial }_{\zeta }\mathrm{ln}\,\varrho ﹩ or k ≤ 1. Local calculations of the dispersion relation are reasonable only when ﹩k\gg {\partial }_{\zeta }\mathrm{ln}\,\varrho ﹩ and k > 1, which does not hold within this shaded region.
© 2024. The Author(s). Published by the American Astronomical Society.