Image Details
 
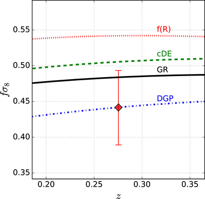
                    Caption: Figure 9.
Comparison between the fσ8 constraint obtained in this work (red diamonds) with the predictions of different gravity models: GR (black solid line), f(R) (red dotted line), cDE (green dashed line), and DGP (blue dashed–dotted line).
© 2021. The American Astronomical Society. All rights reserved.