Image Details

Choose export citation format:

ALMA Observations of Multiple CO and C Lines toward the Active Galactic Nucleus of NGC 7469: An X-Ray-dominated Region Caught in the Act

  • Authors: Takuma Izumi, Dieu D. Nguyen, Masatoshi Imanishi, Taiki Kawamuro, Shunsuke Baba, Suzuka Nakano, Kotaro Kohno, Satoki Matsushita, David S. Meier, Jean L. Turner, Tomonari Michiyama, Nanase Harada, Sergio Martín, Kouichiro Nakanishi, Shuro Takano, Tommy Wiklind, Naomasa Nakai, and Pei-Ying Hsieh

2020 The Astrophysical Journal 898 75.

  • Provider: AAS Journals

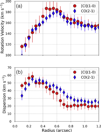
Caption: Figure 11.

Radial profiles of the beam-deconvolved (a) rotation velocity (Vrot) and (b) velocity dispersion (σdisp) at the innermost r < 1.″2. The cases of the [C I](1–0) (red circles) and CO(2–1) (blue diamonds) dynamics are displayed.

Other Images in This Article

Show More

Copyright and Terms & Conditions