Image Details

Choose export citation format:

Electron and Proton Heating in Transrelativistic Magnetic Reconnection

  • Authors: Michael E. Rowan, Lorenzo Sironi, and Ramesh Narayan

2017 The Astrophysical Journal 850 29.

  • Provider: AAS Journals

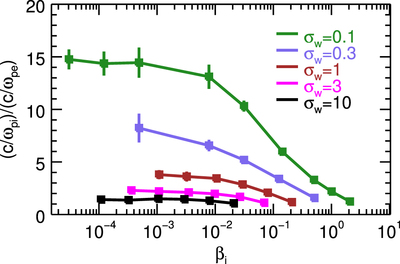
Caption: Figure 15.

﹩{\beta }_{{\rm{i}}}﹩ dependence of downstream proton-to-electron skin depth ratio, ﹩(c/{\omega }_{\mathrm{pi}})/(c/{\omega }_{\mathrm{pe}})﹩ (see Equation (5)), for magnetizations ﹩{\sigma }_{w}=0.1﹩ (green), 0.3 (purple), 1 (brown), 3 (magenta), and 10 (black). For these simulations, the upstream electron-to-proton temperature ratio is ﹩{T}_{{\rm{e}}}/{T}_{{\rm{i}}}=1,﹩ and ﹩{m}_{{\rm{i}}}/{m}_{{\rm{e}}}=1836﹩.

Other Images in This Article

Show More

Copyright and Terms & Conditions