Image Details

Choose export citation format:

THE ORIGIN OF THE COSMIC GAMMA-RAY BACKGROUND IN THE MeV RANGE

  • Authors: Pilar Ruiz-Lapuente, Lih-Sin The, Dieter H. Hartmann, Marco Ajello, Ramon Canal, Friedrich K. Röpke, Sebastian T. Ohlmann, and Wolfgang Hillebrandt

2016 The Astrophysical Journal 820 142.

  • Provider: AAS Journals

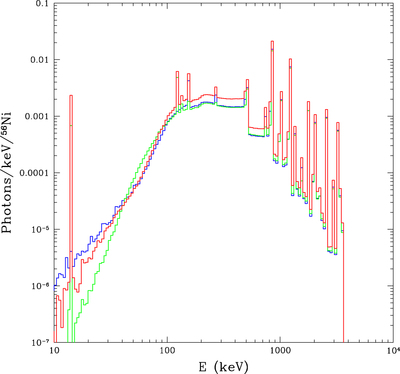
Caption: Figure 1.

Total X-ray continuum and gamma-ray line fluxes per 56Ni nuclei, integrated over the first 600 days. The green line shows the corresponding fluxes from the calculations of The et al. (1993) for the W7 model (Nomoto et al. 1984), the blue line shows the fluxes for the fully mixed W7 model (W7fm) used in W99b, and the red line shows the fluxes for the W7dt model from Yamaoka et al. (1992; see also The & Burrows 2014).

Other Images in This Article

Show More

Copyright and Terms & Conditions