Image Details

Choose export citation format:

Magnetic Effects in Hot Jupiter Atmospheres

  • Authors: T. M. Rogers and T. D. Komacek

Rogers & Komacek 2014 The Astrophysical Journal 794 132.

  • Provider: AAS Journals

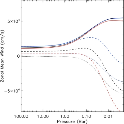
Caption: Figure 11.

Zonal-mean zonal wind, averaged over low latitudes, as a function of pressure. Black lines represent model M7, blue lines represent M8, and red lines represent M6, with solid lines hydrodynamic models, dashed lines 10 G models, and dotted lines 30 G models.

Other Images in This Article

Show More

Copyright and Terms & Conditions