Image Details

Choose export citation format:

Multiple-planet Scattering and the Origin of Hot Jupiters

  • Authors: C. Beaugé and D. Nesvorný

Beaugé & Nesvorný 2012 The Astrophysical Journal 751 119.

  • Provider: AAS Journals

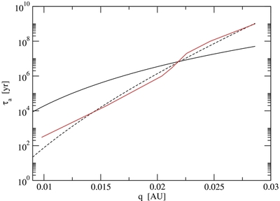
Caption: Figure 3.

Orbital decay timescale as a function of the pericentric distance q for a Jovian-mass planet in an initial quasi-parabolic orbit. Black curve is the prediction of the equilibrium tide model ( Q p = 5 × 10 6), while the red curve is the numerical estimate from the dynamical model from Ivanov & Papaloizou (2011). The dashed curve was obtained from the equilibrium tide model by modifying the tidal parameters according to Equation (5).

Other Images in This Article

Show More

Copyright and Terms & Conditions