Image Details

Choose export citation format:

Multiple-planet Scattering and the Origin of Hot Jupiters

  • Authors: C. Beaugé and D. Nesvorný

Beaugé & Nesvorný 2012 The Astrophysical Journal 751 119.

  • Provider: AAS Journals

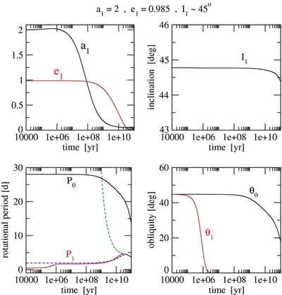
Caption: Figure 2.

Same as Figure 1, but for an initial orbit with e ~ 1. The blue line in the bottom-left panel shows 2π/ n q , where n q is the orbital frequency at pericenter.

Other Images in This Article

Show More

Copyright and Terms & Conditions