Image Details

Choose export citation format:

An Analytical Model for the Accretion of Dark Matter Subhalos

  • Authors: Xiaohu Yang, H. J. Mo, Youcai Zhang, and Frank C. van den Bosch

Yang et al. 2011 The Astrophysical Journal 741 13.

  • Provider: AAS Journals

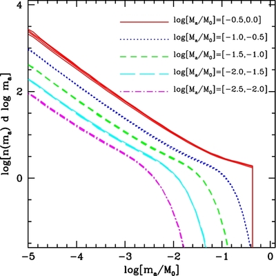
Caption: Figure 9.

Un-evolved mass function of subhalos accreted within different ranges [−0.5, 0.0] (solid lines), [−1.0,−0.5] (dotted), [−1.5,−1.0] (dashed), [−2.0,−1.5] (long dashed), and [−2.5,−2.0] (dot-dashed). For each range of , results are shown with the same line style for host halos of four different masses: M 0 ~ 10 14.5, 10 14.0, 10 13.0, and 10 12.0h −1M . Note that shown in this way the results for different M 0 are almost indistinguishable.

Other Images in This Article
Copyright and Terms & Conditions