Image Details

Choose export citation format:

The Evolution in Coma Molecular Composition of Comet C/2017 K2 (PanSTARRS) across the H2O Sublimation Zone: ALMA Imaging of a H2O-dominated Coma

  • Authors: Nathan X. Roth, Stefanie N. Milam, Martin A. Cordiner, Anthony J. Remijan, Dominique Bockelée-Morvan, Nicolas Biver, Jérémie Boissier, Steven B. Charnley, Charles E. Woodward, Lillian X. Hart, Timothy N. Proudkii

Nathan X. Roth et al 2026 The Planetary Science Journal 7 .

  • Provider: AAS Journals

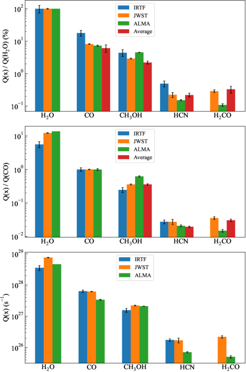
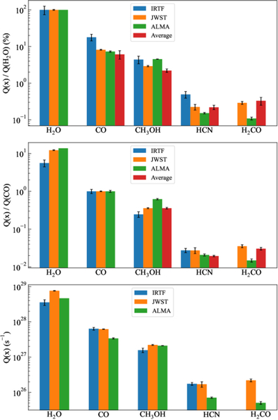
Caption: Figure 7.

Upper: molecular abundances in K2 with respect to H2O measured with IRTF (C. Ejeta et al. 2025), JWST (C. E. Woodward et al. 2025), and ALMA (this work). Middle: same as the left panel, but for abundances with respect to CO. Lower: absolute molecular production rates measured with each facility. Mean values are taken from N. Dello Russo et al. (2016), N. X. Roth et al. (2023), and references therein.

Other Images in This Article

Show More

Copyright and Terms & Conditions

Additional terms of reuse