Image Details

Choose export citation format:

Characterizing the Circumgalactic Medium of Nearby Galaxies with HST/COS and HST/STIS Absorption-line Spectroscopy. II. Methods and Models

  • Authors: Brian A. Keeney, John T. Stocke, Charles W. Danforth, J. Michael Shull, Cameron T. Pratt, Cynthia S. Froning, James C. Green, Steven V. Penton, and Blair D. Savage

2017 The Astrophysical Journal Supplement Series 230 6.

  • Provider: AAS Journals

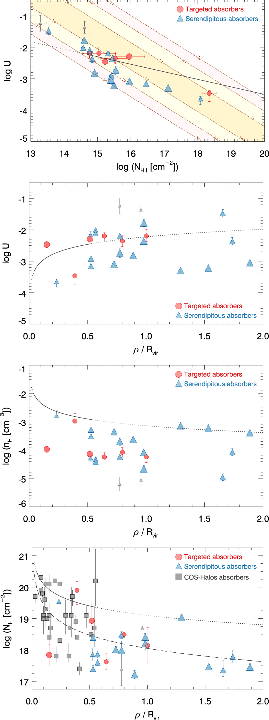
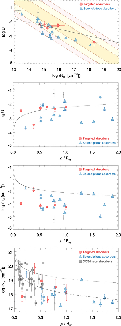
Caption: Figure 9.

Distributions of model parameters as a function of ﹩{N}_{{\rm{H}}{\rm{I}}}﹩ and normalized impact parameter for our updated photoionization models. These models assume a Bayesian prior for ionization parameter as a function of ﹩{N}_{{\rm{H}}{\rm{I}}}﹩, which is shown as 1σ, 2σ, and ﹩3\sigma ﹩ contours in the top panel. Each panel has a solid line with a dotted extrapolation that shows the relationship found by Werk et al. (2014) for COS-Halos absorbers. As in Figure 7, symbol size is indicative of our confidence in the photoionization models, with higher-confidence absorbers having larger plot symbols. The dashed line in the bottom panel is our power-law fit to the combined targeted, serendipitous, and COS-Halos data, and is described in Section 5.4.

Other Images in This Article

Show More

Copyright and Terms & Conditions