Image Details

Choose export citation format:

Characterizing the Circumgalactic Medium of Nearby Galaxies with HST/COS and HST/STIS Absorption-line Spectroscopy. II. Methods and Models

  • Authors: Brian A. Keeney, John T. Stocke, Charles W. Danforth, J. Michael Shull, Cameron T. Pratt, Cynthia S. Froning, James C. Green, Steven V. Penton, and Blair D. Savage

2017 The Astrophysical Journal Supplement Series 230 6.

  • Provider: AAS Journals

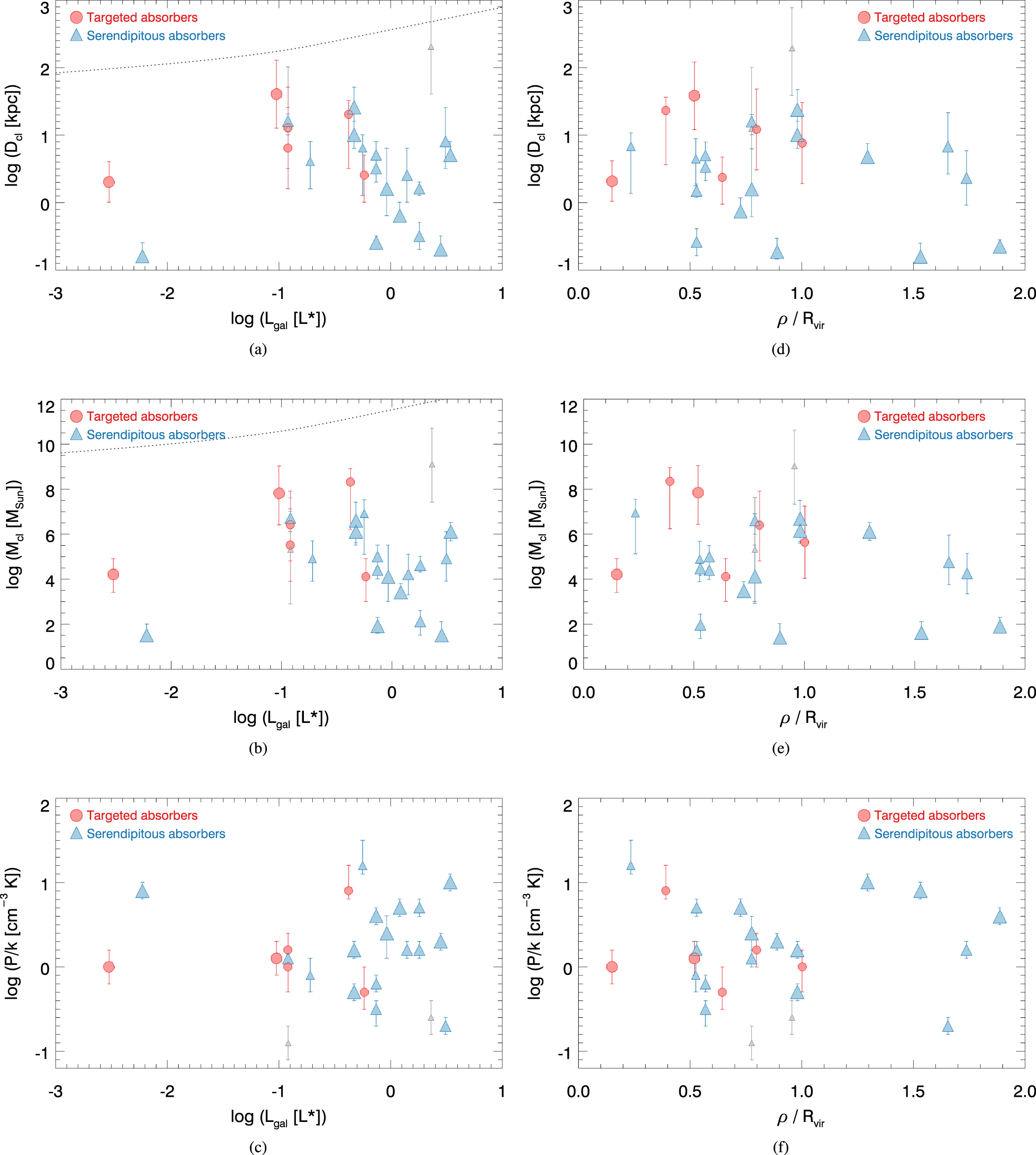
Caption: Figure 8.

Distributions of ﹩{D}_{\mathrm{cl}}﹩, ﹩{M}_{\mathrm{cl}}﹩, and ﹩\langle P/k\rangle ﹩ as a function of nearest galaxy luminosity (Panels a–c) and normalized impact parameter (Panels d–f). As in Figure 7, symbol size is indicative of our confidence in the photoionization models (i.e., our absorber grades) with higher-confidence absorbers having larger plot symbols; the two grade D absorbers are colored gray. No obvious trends are present in any of the panels, in agreement with Figures 12–14 of Paper I. The dotted lines in Panels a–b show the galaxy’s virial diameter and mass, respectively, as a function of luminosity.

Other Images in This Article

Show More

Copyright and Terms & Conditions