Image Details

Choose export citation format:

Self-organization of Local Streamline Structures and Energy Transfer Rate in Compressible Plasma Turbulence

  • Authors: Simone Benella, Virgilio Quattrociocchi, Emanuele Papini, Andrea Verdini, Simone Landi, Maria Federica Marcucci, Giuseppe Consolini

Simone Benella et al 2026 The Astrophysical Journal Letters 1001 .

  • Provider: AAS Journals

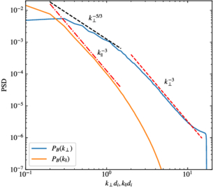
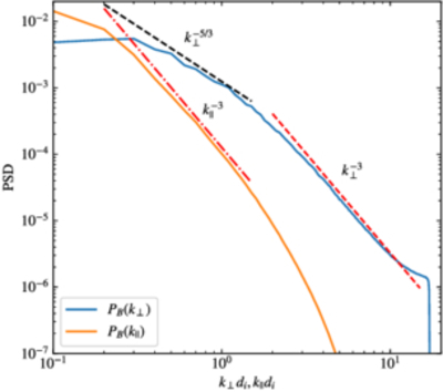
Caption: Figure 5.

Reduced 1D perpendicular and parallel spectra of magnetic field fluctuations with respect to the mean magnetic field. Dashed and dotted–dashed lines represent typical slopes expected in inertial and Hall ranges that serve as reference.

Other Images in This Article
Copyright and Terms & Conditions

Additional terms of reuse