Image Details

Choose export citation format:

A Second Visit to Eps Ind Ab with JWST: New Photometry Confirms Ammonia and Suggests Thick Clouds in the Exoplanet Atmosphere of the Closest Super-Jupiter

  • Authors: Elisabeth C. Matthews, James Mang, Aarynn L. Carter, Mathlide Mâlin, Caroline V. Morley, Bhavesh Rajpoot, Leindert A. Boogaard, Jennifer A. Burt, Ian J. M. Crossfield, Fabo Feng, Anne- Marie Lagrange, Mark W. Phillips

Elisabeth C. Matthews et al 2026 The Astrophysical Journal Letters 1002 .

  • Provider: AAS Journals

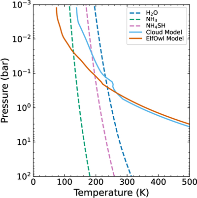
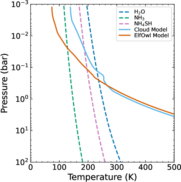
Caption: Figure 8.

Condensation curves for H2O, NH4SH, and NH3, plotted against two P–T profiles: (1) a 275 K Sonora Elf Owl model with elevated metallicity ([Fe/H] = 1.0) and C/O (2.5 times solar), for which all three cloud species could form; and (2) our custom cloud model from Figure 6, for which H2O and NH4SH but not NH3 clouds are expected to form. The NH4SH curve is plotted following the equation provided in C. Visscher et al. (2006), for metallicity 3 times solar.

Other Images in This Article
Copyright and Terms & Conditions

Additional terms of reuse