Image Details

Choose export citation format:

Formation and Disruption of Wide Binaries in Star Clusters Revealed by N-body Simulations

  • Authors: Abylay Bissekenov, Xiaoying Pang, Rainer Spurzem, Bekdaulet Shukirgaliyev, Mukhagali Kalambay, Peter Berczik

Abylay Bissekenov et al 2026 The Astrophysical Journal Letters 1001 .

  • Provider: AAS Journals

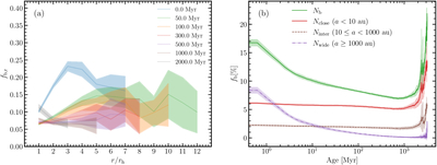
Caption: Figure 4.

Radial binary fraction of simulations (fb,r, a) of the models with N15k_10hb_40sb from Table 1. Lines represent the mean value of different randomizations, and the shaded region represents the standard deviation. Colors represent ages from 0.0 to 2000 Myr. Panel (b) shows the binary fraction of all (green), close (red), intermediate (brown), and wide (purple) binaries as a function of time for the same simulation set.

Other Images in This Article
Copyright and Terms & Conditions

Additional terms of reuse