Image Details

Choose export citation format:

Formation and Disruption of Wide Binaries in Star Clusters Revealed by N-body Simulations

  • Authors: Abylay Bissekenov, Xiaoying Pang, Rainer Spurzem, Bekdaulet Shukirgaliyev, Mukhagali Kalambay, Peter Berczik

Abylay Bissekenov et al 2026 The Astrophysical Journal Letters 1001 .

  • Provider: AAS Journals

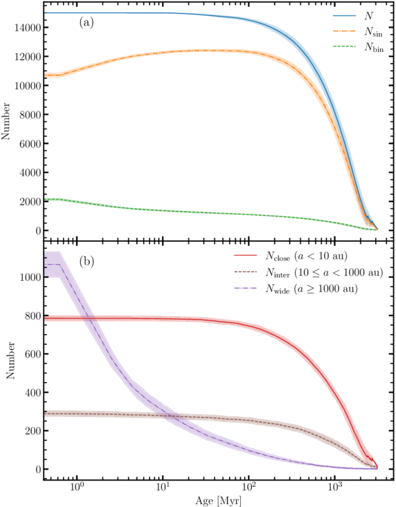
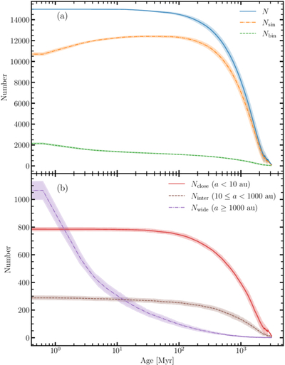
Caption: Figure 1.

(a) Evolution of total number of stars (blue), single stars (orange), and binaries (green) of the simulation set N15k_10hb_40sb from Table 1. (b) Number of close, intermediate (brown), and wide (purple) binaries for the same simulation set. Solid curves and shaded regions represent the mean and standard deviation values among randomized models in the set.

Other Images in This Article
Copyright and Terms & Conditions

Additional terms of reuse