Image Details

Choose export citation format:

Generation of Ion-scale Plasma Waves near Shocks Observed by Solar Orbiter

  • Authors: Lingling Zhao, XingYu Zhu, Zeping Jin, Gary Zank, Jakobus Le Roux, Ashok Silwal, Nibuna S. M. Subashchandar, Yiming Jiao

Lingling Zhao et al 2026 The Astrophysical Journal Letters 1000 .

  • Provider: AAS Journals

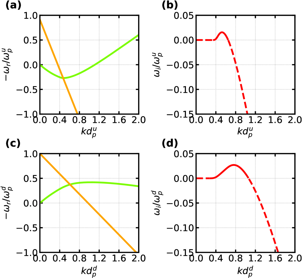
Caption: Figure 7.

Panels (a)–(b) show the negative real (−ωr) and imaginary (ωi) parts of the wave frequency (normalized to the proton cyclotron frequency ωp) vs. wavenumber for upstream low-frequency A/IC waves for the IP shock in Figure 5. Solutions use the fitted VDF from Figure 6 as input to a linear dispersion solver. Orange lines show Doppler-shift-derived dispersions based on the observed wave frequency near ωp. Panels (c)–(d) show the same analysis for downstream A/IC waves.

Other Images in This Article
Copyright and Terms & Conditions

Additional terms of reuse