Image Details

Choose export citation format:

Generation of Ion-scale Plasma Waves near Shocks Observed by Solar Orbiter

  • Authors: Lingling Zhao, XingYu Zhu, Zeping Jin, Gary Zank, Jakobus Le Roux, Ashok Silwal, Nibuna S. M. Subashchandar, Yiming Jiao

Lingling Zhao et al 2026 The Astrophysical Journal Letters 1000 .

  • Provider: AAS Journals

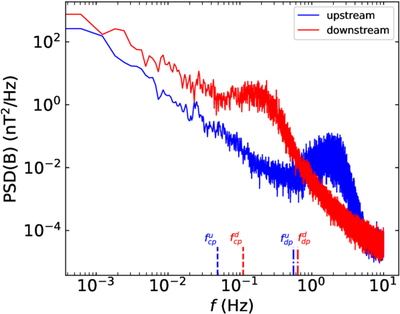
Caption: Figure 2.

PSD of magnetic field fluctuations upstream and downstream of the bow shock shown in Figure 1. The PSDs are calculated using 1 hr intervals in the upstream and downstream regions. The dashed lines mark the proton gyrofrequencies for the upstream (﹩{f}_{cp}^{u}﹩) and downstream (﹩{f}_{cp}^{d}﹩) regions. The dashed–dotted lines mark the Taylor-shifted frequencies associated with the proton inertial length for the upstream (﹩{f}_{dp}^{u}﹩) and downstream (﹩{f}_{dp}^{d}﹩) regions.

Other Images in This Article
Copyright and Terms & Conditions

Additional terms of reuse