Image Details

Choose export citation format:

Generation of Ion-scale Plasma Waves near Shocks Observed by Solar Orbiter

  • Authors: Lingling Zhao, XingYu Zhu, Zeping Jin, Gary Zank, Jakobus Le Roux, Ashok Silwal, Nibuna S. M. Subashchandar, Yiming Jiao

Lingling Zhao et al 2026 The Astrophysical Journal Letters 1000 .

  • Provider: AAS Journals

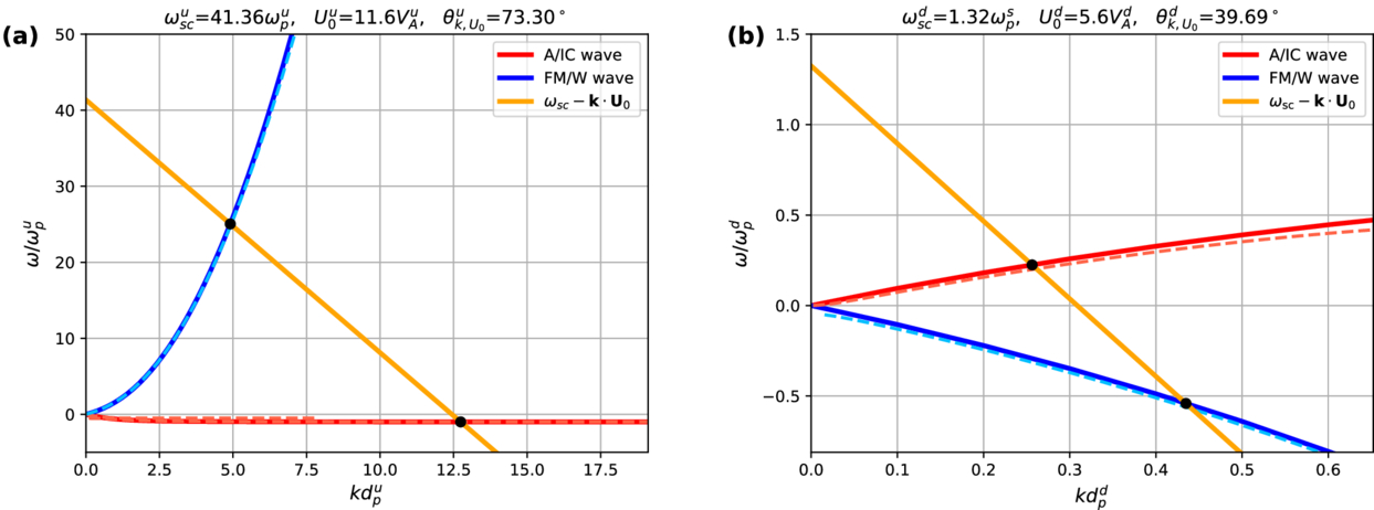
Caption: Figure 3.

Plasma-frame wave frequency ω vs. wavenumber k from the cold plasma approximation, with ω normalized to the proton gyrofrequency ωp and k to ﹩{d}_{p}^{-1}﹩. Panel (a) shows the upstream interval, and panel (b) shows the downstream interval. A/IC (red) and FM/W (blue) modes are shown; solid lines show the proton–electron cold plasma dispersion relation, while dashed lines include alpha particles. Intersections with the Doppler-shift-derived relation (orange) indicate possible wavevector solutions (black circles).

Other Images in This Article
Copyright and Terms & Conditions

Additional terms of reuse