Image Details

Choose export citation format:

JWST Observations of Starbursts: Polycyclic Aromatic Hydrocarbons Closely Trace the Cool Phase of M82’s Galactic Wind

  • Authors: Sebastian Lopez, Colton Ring, Adam K. Leroy, Serena A. Cronin, Alberto D. Bolatto, Laura A. Lopez, Vicente Villanueva, Deanne B. Fisher, Todd A. Thompson, Grant P. Donnelly, Lee Armus, Torsten Böker, Leindert A. Boogaard, Martha L. Boyer, Ryan Chown, Daniel A. Dale, Keaton Donaghue, Kimberly Emig, Simon C. O. Glover, Rodrigo Herrera-Camus, Ralf S. Klessen, Thomas S.-Y. Lai, Laura Lenkić, Rebecca C. Levy, David S. Meier, Elisabeth Mills, Juergen Ott, Evan D. Skillman, J. D. T. Smith, Elizabeth J. Tarantino, Sylvain Veilleux, Fabian Walter, Paul P. van der Werf

Sebastian Lopez et al 2026 The Astrophysical Journal Letters 999 .

  • Provider: AAS Journals

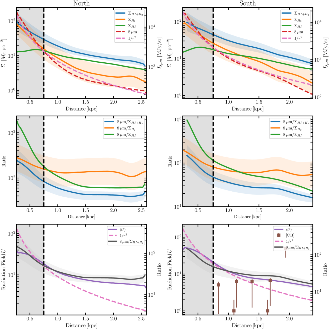
Caption: Figure 5.

Profiles as a function of distance from the disk toward the north (left) and south (right). These profiles were constructed at a resolution of 27 (≈500 pc) to match the lowest resolution datasets. The profiles span the area covered by the JWST mapping (3﹩\mathop{.}\limits^{^{\prime} }﹩2 × 2﹩\mathop{.}\limits^{^{\prime} }﹩2 in the north and 2﹩\mathop{.}\limits^{^{\prime} }﹩4 × 2﹩\mathop{.}\limits^{^{\prime} }﹩0 in the south). We calculate the total gas surface density of the neutral phase as ﹩{{\rm{\Sigma }}}_{\mathrm{HI}+{{\rm{H}}}_{2}}={{\rm{\Sigma }}}_{\mathrm{HI}}+{I}_{\mathrm{CO}(2-1)}{\alpha }_{\mathrm{CO}}^{(2-1)}﹩ assuming ﹩{\alpha }_{{\rm{CO}}}^{(2-1)}=1\,{M}_{\odot }\,{{\rm{pc}}}^{-2}{({\rm{K}}\,{\rm{km}}\,{{\rm{s}}}^{-1})}^{-1}﹩ and an R21 = 0.6 we derived from the IRAM CO(2–1) and CO(1–0) maps from A. K. Leroy et al. (2015). For reference, we add a vertical line at 750 pc since below that distance the H I goes into absorption and becomes unreliable. The top row shows the mass surface densities of the H I, H2, and the total neutral gas. Also shown is the fall off in intensity for the 8 μm PAH emission from Spitzer. The shaded areas around the H2 and total gas mass are to mark the uncertainty in the αCO used (0.5 < αCO < 2). The middle row shows ratios that trace the coupling between PAH emission and the cold gas phases: 8 μm/H2, 8 μm/H I, and 8 μm/MHI + H2. The bottom row shows different radiation field estimates: an analytic 1/r2 decline (dashed pink), 〈U〉 from dust SED modeling (solid violet), and G/G0 from [C II] PDR modeling (brown squares). The radiation field and PAH/MHI+H2 ratio behave similarly, showing how the radiation field affects the PAH intensity.

Other Images in This Article
Copyright and Terms & Conditions

Additional terms of reuse