Image Details

Choose export citation format:

Multiple Shells in Supernova 2023ixf Support the Jittering Jets Explosion Mechanism

  • Authors: Noam Soker, Kobi Shiran

Noam Soker and Kobi Shiran 2025 The Astrophysical Journal Letters 995 .

  • Provider: AAS Journals

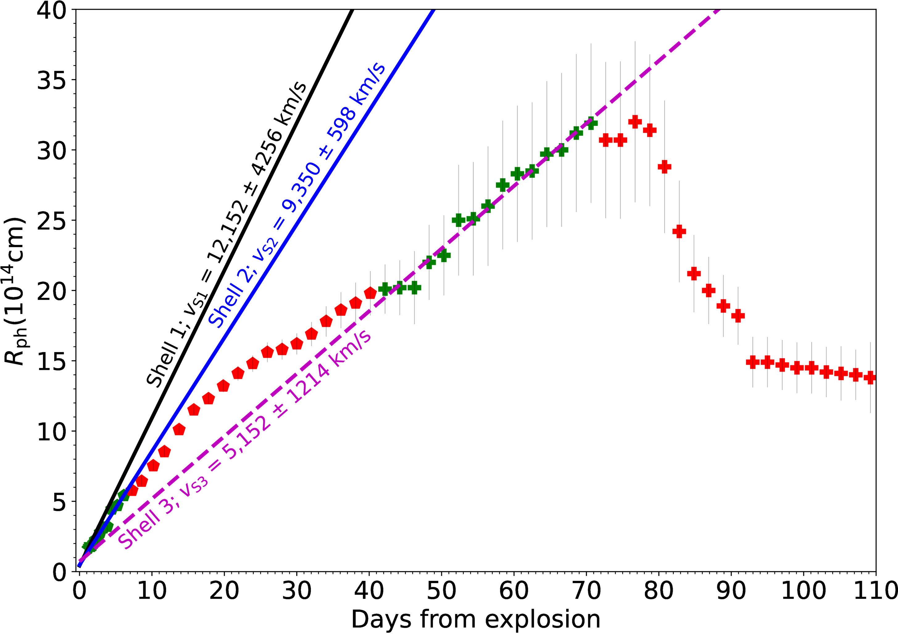
Caption: Figure 2.

Similar to Figure 1, but including later times and different scales on the axes. As in Figure 1, red pentagons and pluses are excluded from fittings. We fit a third straight line to the points in the time period of t = 42.19–70.63 days (green pluses); this is Shell 3. The points from day 7 to day 41 (red pentagons) are the photospheric radius in the ejecta inward to Shell 2 and outside Shell 3. During that time, the photosphere moves inward in the mass coordinate of the ejecta. Therefore, each point corresponds to a deeper mass layer than the previous point; the points do not represent a single layer. For that, we cannot fit a straight line through these points. Around day 45, the front of Shell 3 becomes the photosphere. From there to about day 71, a straight line corresponds to the front of Shell 3. After day 71, Shell 3 became transparent, and the photosphere moved inward in the mass coordinate of the ejecta (red pluses).

Other Images in This Article
Copyright and Terms & Conditions

Additional terms of reuse