Image Details

Choose export citation format:

A Black Hole Is Born: 3D General-relativistic Magnetohydrodynamic Simulation of Black Hole Formation from Core Collapse

  • Authors: Goni Halevi, Swapnil Shankar, Philipp Mösta, Roland Haas, Erik Schnetter

Goni Halevi et al 2025 The Astrophysical Journal Letters 991 .

  • Provider: AAS Journals

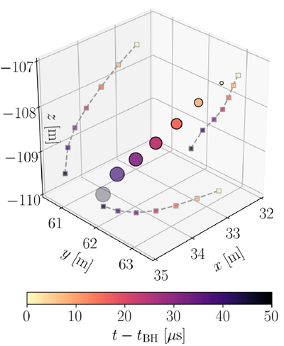
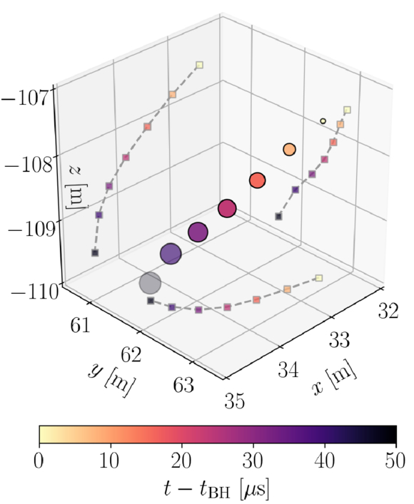
Caption: Figure 5.

Spatial trajectory of the BH as measured by the centroid of the apparent horizon over time. Circle markers in the 3D projection represent the horizon at each time after BH formation, with color indicating time after BH formation tBH in microseconds, and size representing the proper area A of the horizon. The horizon expands at a decreasing rate while the black hole moves along a complex trajectory. 2D projections of this trajectory on each plane are drawn with square markers and connected with dashed gray lines.

Other Images in This Article
Copyright and Terms & Conditions

Additional terms of reuse