Image Details

Choose export citation format:

A Black Hole Is Born: 3D General-relativistic Magnetohydrodynamic Simulation of Black Hole Formation from Core Collapse

  • Authors: Goni Halevi, Swapnil Shankar, Philipp Mösta, Roland Haas, Erik Schnetter

Goni Halevi et al 2025 The Astrophysical Journal Letters 991 .

  • Provider: AAS Journals

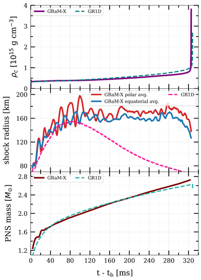
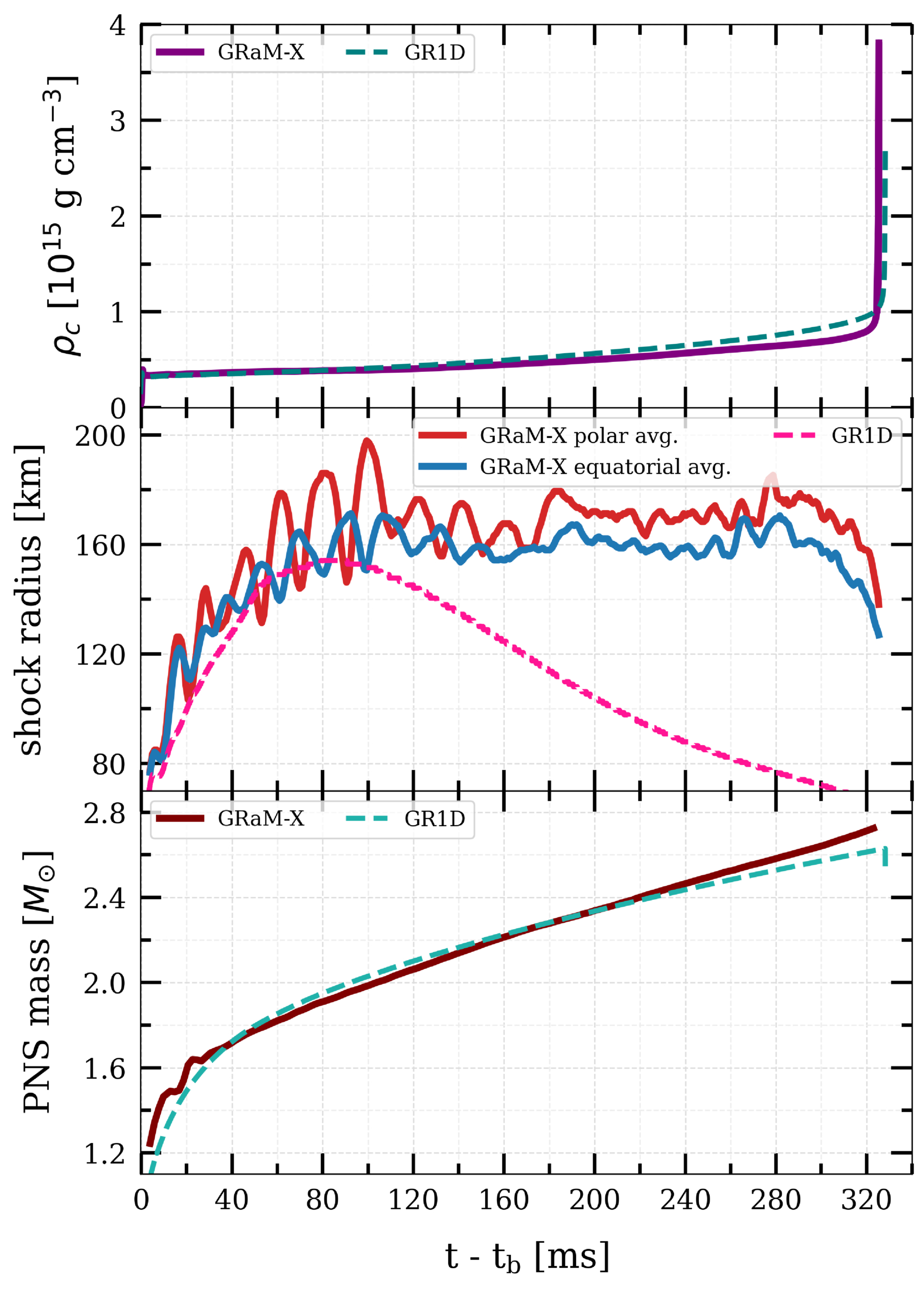
Caption: Figure 2.

Postbounce evolution of the central density (top panel), shock radius (middle panel), and PNS mass (bottom panel) for both our GR1D simulation (dashed lines) and our 3D GRaM-X simulation (solid lines). The 3D evolution of the central density and PNS mass are both closely approximated by the 1.5D evolution. The time of BH formation, where the central density exponentially rises, is also nearly identical between the two simulations. However, the shock radius differs dramatically between the 3D and 1.5D evolution at times after it has reached its maximum value.

Other Images in This Article
Copyright and Terms & Conditions

Additional terms of reuse