Image Details

Choose export citation format:

Rejuvenated Accretors Have Less Bound Envelopes: Impact of Roche Lobe Overflow on Subsequent Common Envelope Events

  • Authors: M. Renzo, E. Zapartas, S. Justham, K. Breivik, M. Lau, R. Farmer, M. Cantiello, B. D. Metzger

M. Renzo et al 2023 The Astrophysical Journal Letters 942 .

  • Provider: AAS Journals

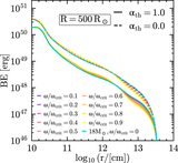
Caption: Figure 1.

H-R diagram of the binary systems. The thin dashed lines show the evolution of the donors until RLOF detachment, the solid lines show the accretors from ZAMS, through RLOF (marked by a yellow outline), until core carbon depletion. Dots with black outlines mark the accretor’s TAMS (not shown for donor). The thin dotted lines mark constant radii of R = 100, 200, 300, 500, 1000 R ; all models have Z = 0.0019, an initial orbital period of 100 days, and initial masses of 38 and 30 M (green), 20 and 17 M (orange), 18 and 15 M (blue).

Other Images in This Article
Copyright and Terms & Conditions

Additional terms of reuse