Image Details

Choose export citation format:

Rejuvenated Accretors Have Less Bound Envelopes: Impact of Roche Lobe Overflow on Subsequent Common Envelope Events

  • Authors: M. Renzo, E. Zapartas, S. Justham, K. Breivik, M. Lau, R. Farmer, M. Cantiello, B. D. Metzger

M. Renzo et al 2023 The Astrophysical Journal Letters 942 .

  • Provider: AAS Journals

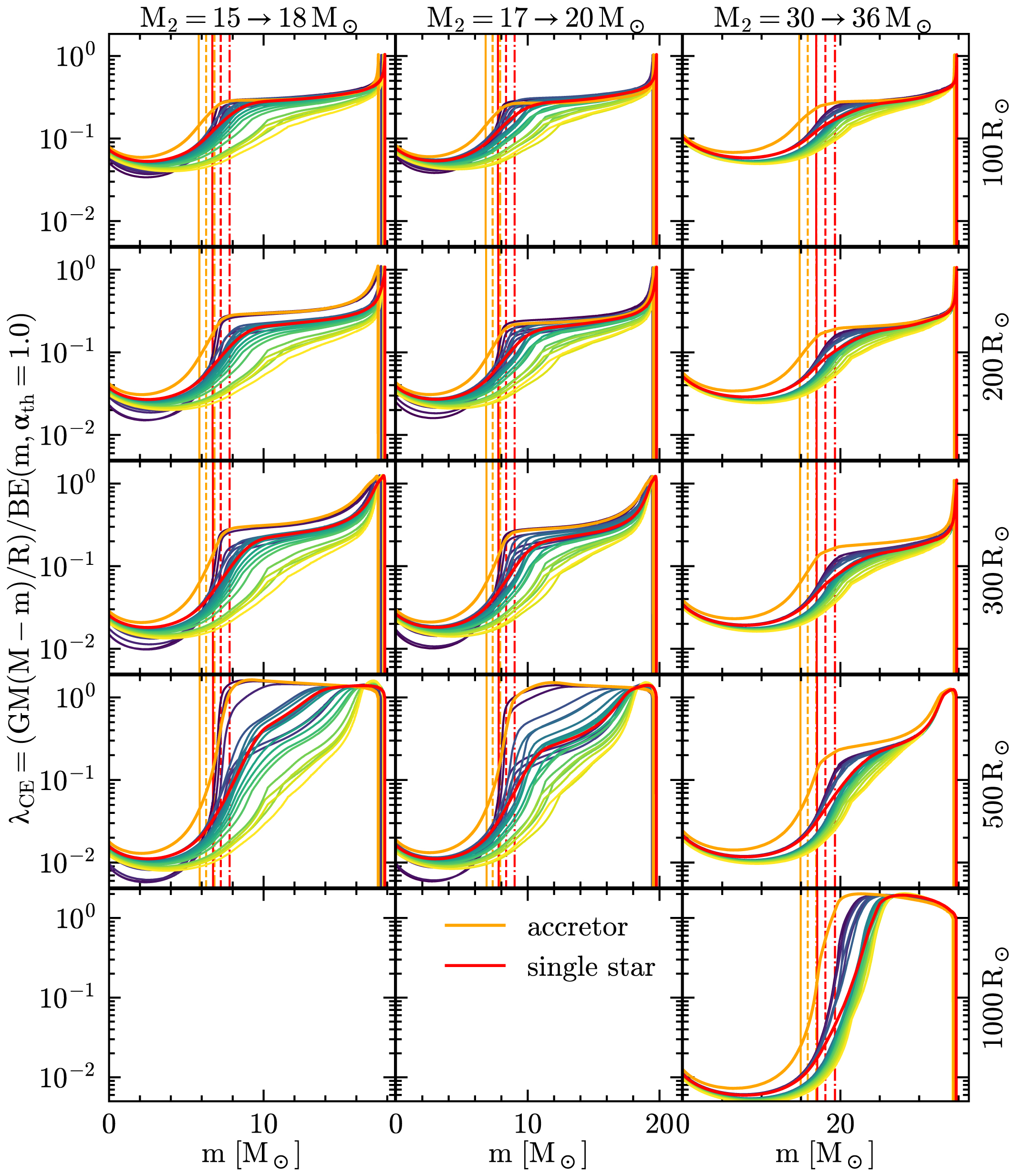
Caption: Figure 11.

Profile of the binding energy parameter λ CE as a function of mass coordinate for accretors (orange), single stars (red), and our engineered stars (other colors) at selected total radii. The vertical lines mark the outer edge of the helium cores of the accretor and single star, which is the outermost location where Y > 0.1 and X < 0.01 (solid lines), or X < 0.1 (dashed), or X < 0.2 (dotted–dashed). The CEB size of engineered models increases from blue to yellow.

Other Images in This Article
Copyright and Terms & Conditions

Additional terms of reuse