Image Details

Choose export citation format:

Rejuvenated Accretors Have Less Bound Envelopes: Impact of Roche Lobe Overflow on Subsequent Common Envelope Events

  • Authors: M. Renzo, E. Zapartas, S. Justham, K. Breivik, M. Lau, R. Farmer, M. Cantiello, B. D. Metzger

M. Renzo et al 2023 The Astrophysical Journal Letters 942 .

  • Provider: AAS Journals

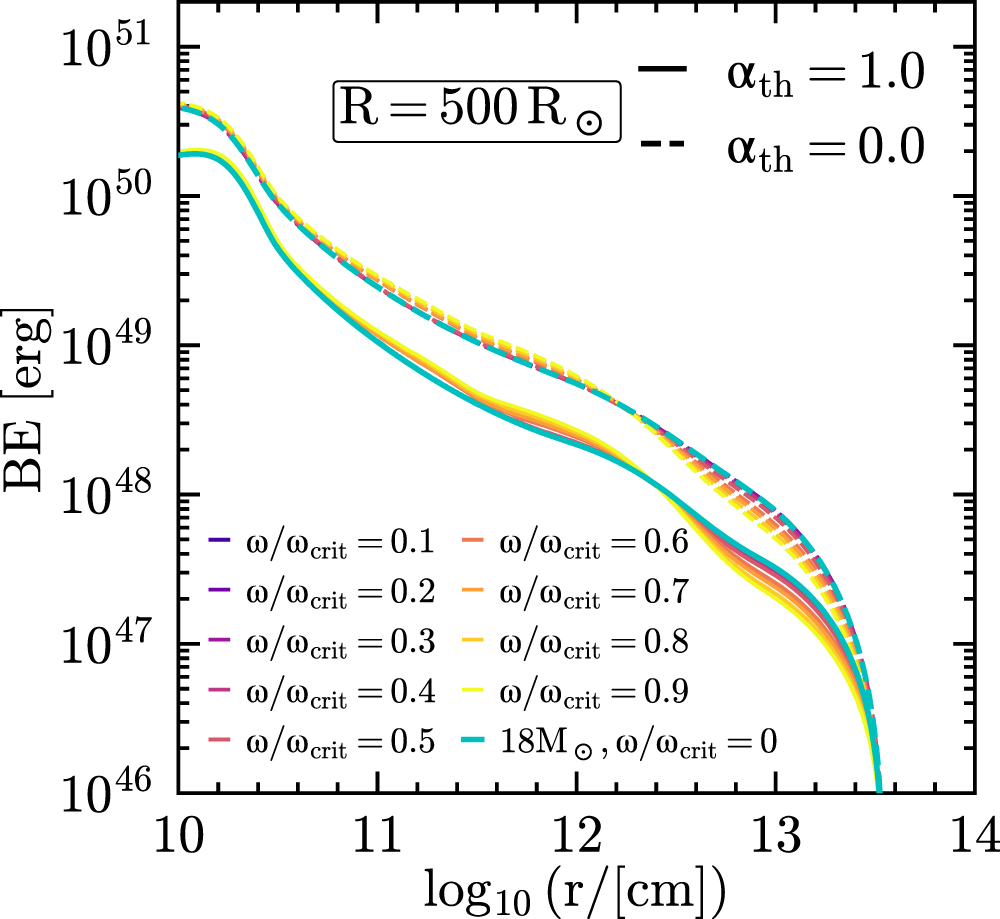
Caption: Figure 7.

Same as Figure 6 but comparing single stars differing by their initial rotation rate.

Other Images in This Article
Copyright and Terms & Conditions

Additional terms of reuse