Image Details

Choose export citation format:

Rejuvenated Accretors Have Less Bound Envelopes: Impact of Roche Lobe Overflow on Subsequent Common Envelope Events

  • Authors: M. Renzo, E. Zapartas, S. Justham, K. Breivik, M. Lau, R. Farmer, M. Cantiello, B. D. Metzger

M. Renzo et al 2023 The Astrophysical Journal Letters 942 .

  • Provider: AAS Journals

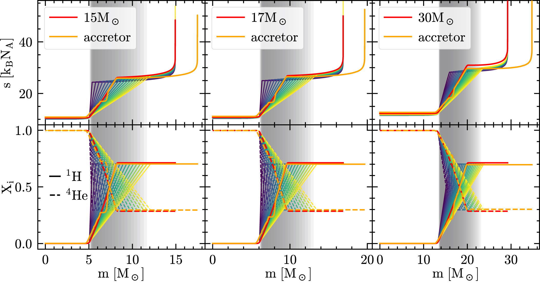
Caption: Figure 10.

Specific entropy (top row), H (bottom row, solid lines), and He (bottom row, dashed lines) profiles for nonrotating single stars (red), accretors (orange), and “engineered” models of the same total mass as the ZAMS mass of the accretors. The overlapping gray bands emphasize the CEB region, increasing in size from blue to yellow in the engineered models.

Other Images in This Article
Copyright and Terms & Conditions

Additional terms of reuse