Image Details

Choose export citation format:

The Circumstellar Material around the Type IIP SN 2021yja

  • Authors: Alexandra Kozyreva, Jakub Klencki, Alexei V. Filippenko, Petr Baklanov, Alexey Mironov, Stephen Justham, Andrea Chiavassa

Alexandra Kozyreva et al 2022 The Astrophysical Journal Letters 934 .

  • Provider: AAS Journals

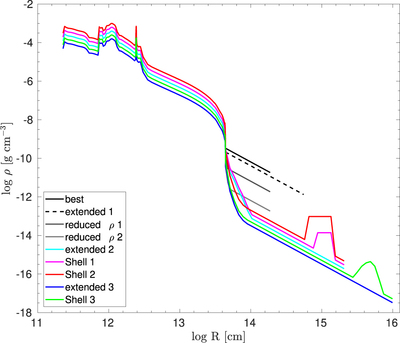
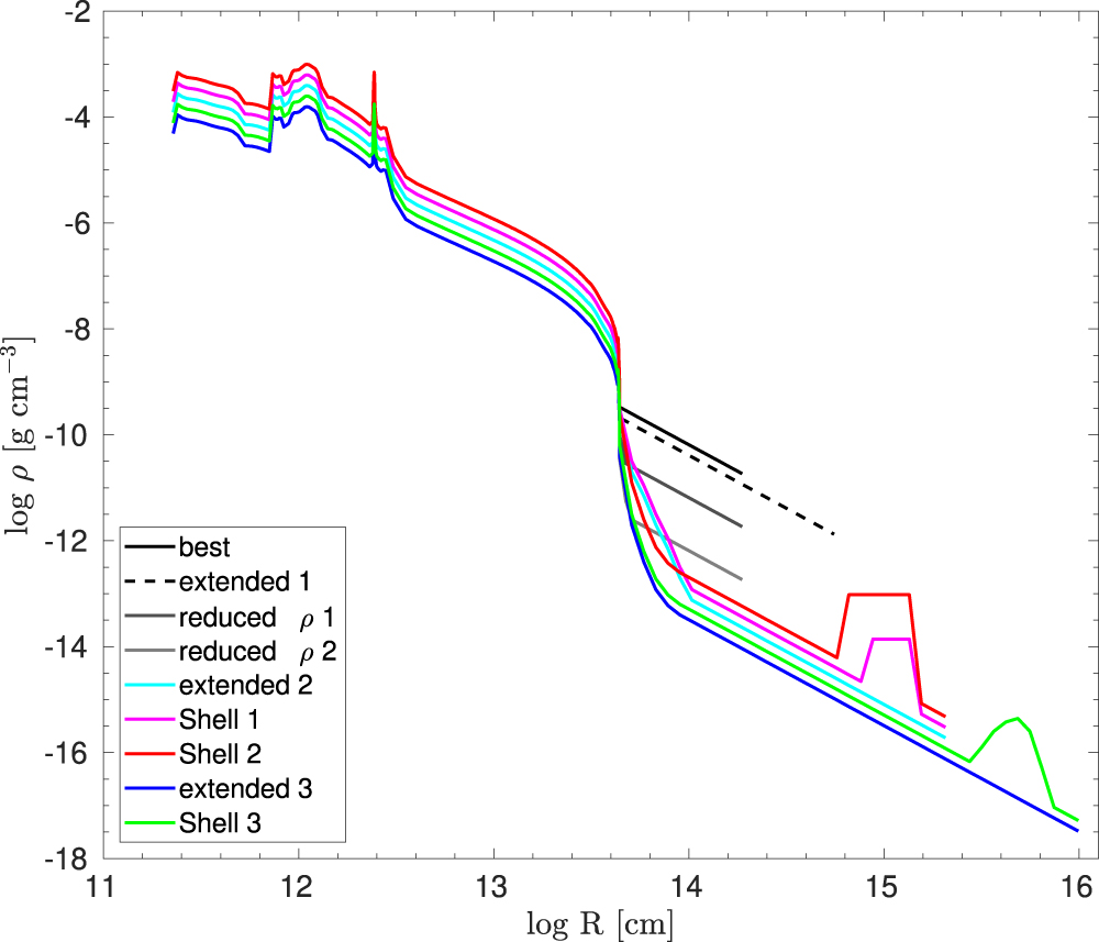
Caption: Figure 9.

Density structures of the models with CSM structures specified in Table 1. The profiles of the models “extended 1” (−0.2), “extended 3” (−0.4), “Shell 1” (+0.2), “Shell 2” (+0.4), and “Shell 3” (−0.2) are shown with different offsets (specified in parentheses) for clarity.

Other Images in This Article
Copyright and Terms & Conditions

Additional terms of reuse