Image Details

Choose export citation format:

The Circumstellar Material around the Type IIP SN 2021yja

  • Authors: Alexandra Kozyreva, Jakub Klencki, Alexei V. Filippenko, Petr Baklanov, Alexey Mironov, Stephen Justham, Andrea Chiavassa

Alexandra Kozyreva et al 2022 The Astrophysical Journal Letters 934 .

  • Provider: AAS Journals

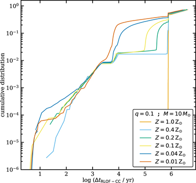
Caption: Figure 8.

Cumulative distribution of the time between the onset of mass transfer and core collapse, ﹩\mathrm{log}({\rm{\Delta }}{t}_{\mathrm{RLOF}-\mathrm{CC}}﹩ yr −1), estimated for a 20 M RSG progenitor evolving in a binary with a 1/10 as a massive companion, shown for different metallicities.

Other Images in This Article
Copyright and Terms & Conditions

Additional terms of reuse