Image Details

Choose export citation format:

The Circumstellar Material around the Type IIP SN 2021yja

  • Authors: Alexandra Kozyreva, Jakub Klencki, Alexei V. Filippenko, Petr Baklanov, Alexey Mironov, Stephen Justham, Andrea Chiavassa

Alexandra Kozyreva et al 2022 The Astrophysical Journal Letters 934 .

  • Provider: AAS Journals

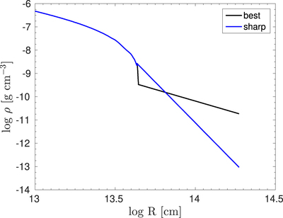
Caption: Figure 6.

Density structures of the best-fit (“best”) model and the model with the sharper density gradient in the CSM (“sharp”).

Other Images in This Article
Copyright and Terms & Conditions

Additional terms of reuse