Image Details

Choose export citation format:

The Circumstellar Material around the Type IIP SN 2021yja

  • Authors: Alexandra Kozyreva, Jakub Klencki, Alexei V. Filippenko, Petr Baklanov, Alexey Mironov, Stephen Justham, Andrea Chiavassa

Alexandra Kozyreva et al 2022 The Astrophysical Journal Letters 934 .

  • Provider: AAS Journals

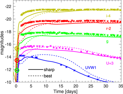
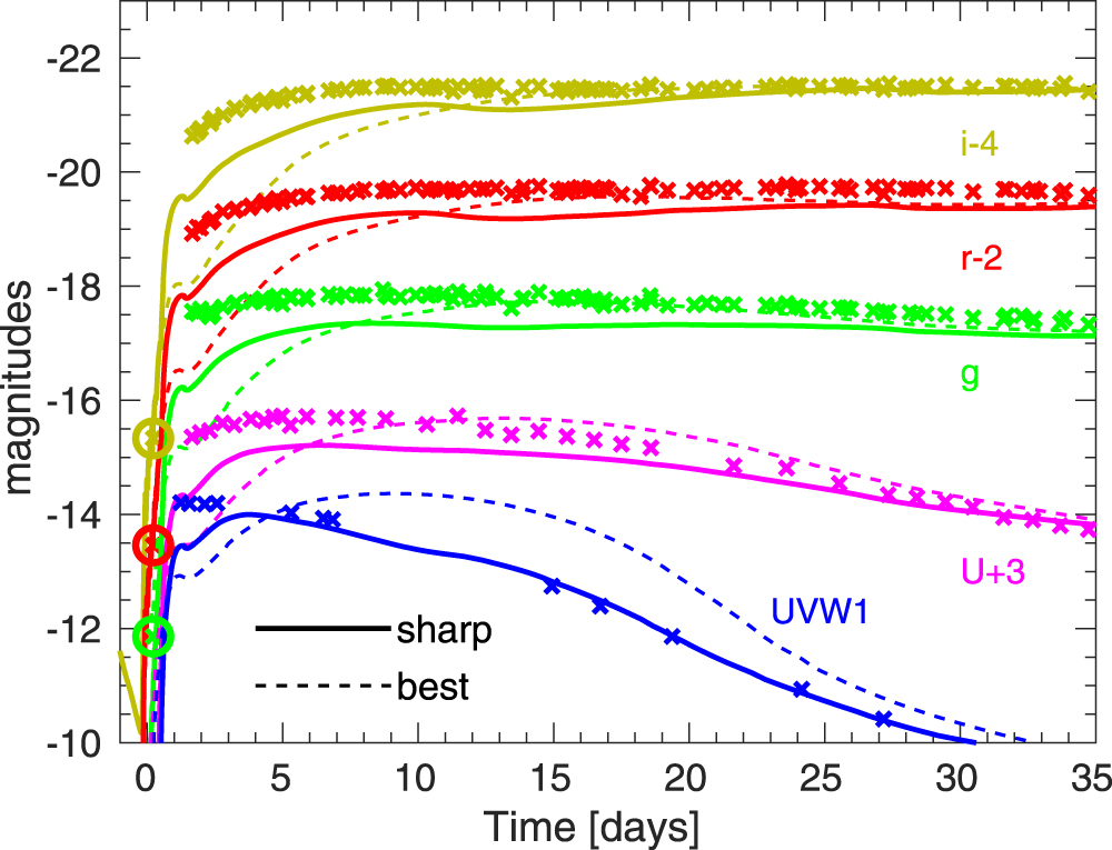
Caption: Figure 7.

UVW1 and Ugri broadband magnitudes for the best-fit model “best” (dashed curves) and the model “sharp” with the compact CSM (solid curves), and SN 2021yja.

Other Images in This Article
Copyright and Terms & Conditions

Additional terms of reuse