Image Details

Choose export citation format:

Temporal Variation in the Coronal Radius Parameter in a Jetted Tidal Disruption Event: Swift J1644+57

  • Authors: Arka Chatterjee, Kimitake Hayasaki, Prantik Nandi, Neeraj Kumari, Skye R. Heiland, Arghajit Jana, Sachindra Naik, Samar Safi-Harb

Arka Chatterjee et al 2026 The Astrophysical Journal 1002 .

  • Provider: AAS Journals

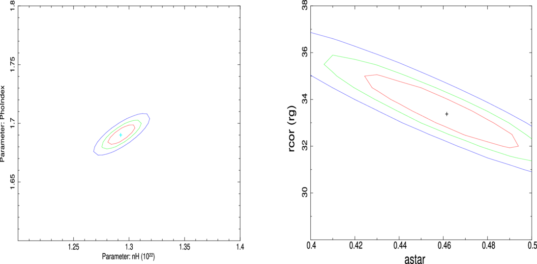
Caption: Figure 4.

Contours of confidence are plotted for Swift/XRT observations fitted with the powerlaw and Optxagnf models.

Other Images in This Article
Copyright and Terms & Conditions

Additional terms of reuse