Image Details

Choose export citation format:

Temporal Variation in the Coronal Radius Parameter in a Jetted Tidal Disruption Event: Swift J1644+57

  • Authors: Arka Chatterjee, Kimitake Hayasaki, Prantik Nandi, Neeraj Kumari, Skye R. Heiland, Arghajit Jana, Sachindra Naik, Samar Safi-Harb

Arka Chatterjee et al 2026 The Astrophysical Journal 1002 .

  • Provider: AAS Journals

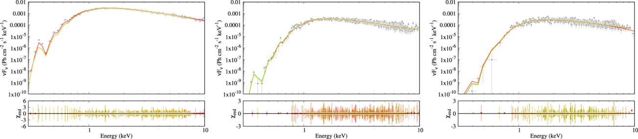
Caption: Figure 3.

Left to right: XRT2, XRT6, and XRT10 fitted unfolded spectra are presented for various models. The red line represents the Optxagnf model, green represents the Nthcomp model, and orange represents the powerlaw model. Corresponding residues are plotted in the bottom panels.

Other Images in This Article
Copyright and Terms & Conditions

Additional terms of reuse