Image Details

Choose export citation format:

A Galactic Perspective on the (Unremarkable) Relative Refractory Depletion Observed in the Sun

  • Authors: Rayna Rampalli, James W. Johnson, Melissa K. Ness, Graham H. Edwards, Elisabeth R. Newton, Emily J. Griffith, Megan Bedell, Kaile Wang

Rayna Rampalli et al 2026 The Astrophysical Journal 1002 .

  • Provider: AAS Journals

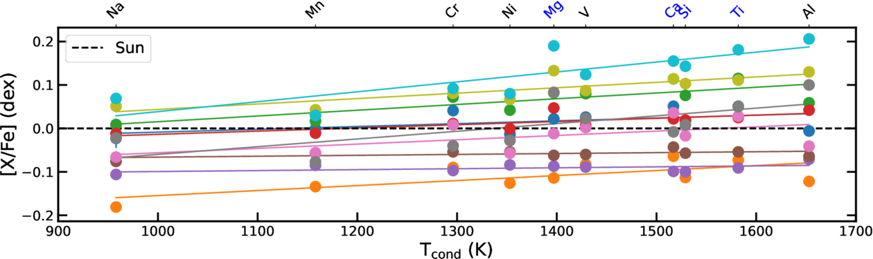
Caption: Figure 2.

Tcond linear fits for 10 random stars’ refractory abundances as a function of their 50% condensation temperature as reported in K. Lodders (2003). Each color represents a different star’s elemental abundances, and α-elements are noted by blue text labels.

Other Images in This Article

Show More

Copyright and Terms & Conditions

Additional terms of reuse