Image Details

Choose export citation format:

Resolved UV–Optical HST Imaging and Spectral Energy Distribution Modeling of Nearby BAT Active Galactic Nuclei

  • Authors: Connor Auge, Michael Koss, Kriti K. Gupta, Claudio Ricci, Benny Trakhtenbrot, Franz E. Bauer, Ezequiel Treister, Alessandro Peca, Brad Cenko, Kohei Ichikawa, Arghajit Jana, Darshan Kakkad, Richard Mushotzky, Kyuseok Oh, Alejandra Rojas Lilayú, David Sanders, Roberto Serafinelli, Matilde Signorini, Alessia Tortosa, C. Megan Urry

Connor Auge et al 2026 The Astrophysical Journal 1002 .

  • Provider: AAS Journals

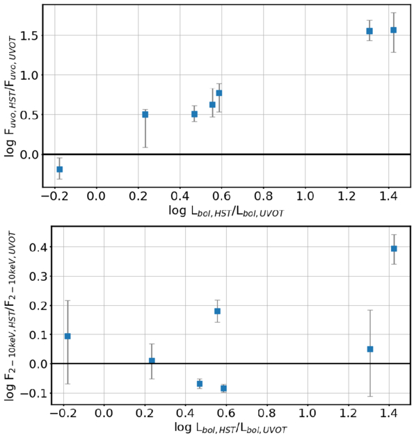
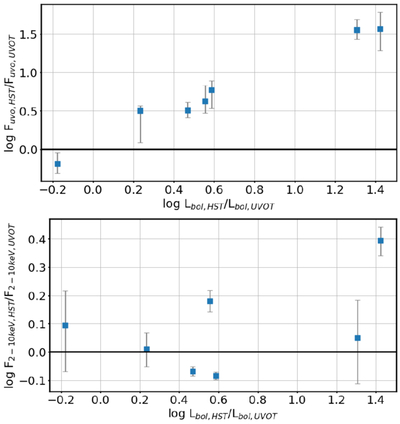
Caption: Figure 5.

Top: ratio of the flux of the UV/optical disk flux (1 × 10−7–0.1 keV) derived from the best-fit SEDs in this work using HST data to the best UV/optical flux from G24 as a function of the difference in bolometric luminosities. Bottom: same as the top, but comparing the 2–10 keV flux derived in this work to that from G24.

Other Images in This Article

Show More

Copyright and Terms & Conditions

Additional terms of reuse