Image Details

Choose export citation format:

The Response of the Martian Ion Precipitation to Extreme Solar Events

  • Authors: Xinzhi Qiu, Yiqun Yu, Longhui Liu, Yu Yan, Jinbin Cao

Xinzhi Qiu et al 2026 The Astrophysical Journal 1001 .

  • Provider: AAS Journals

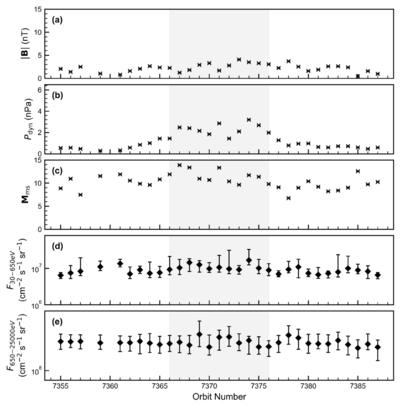
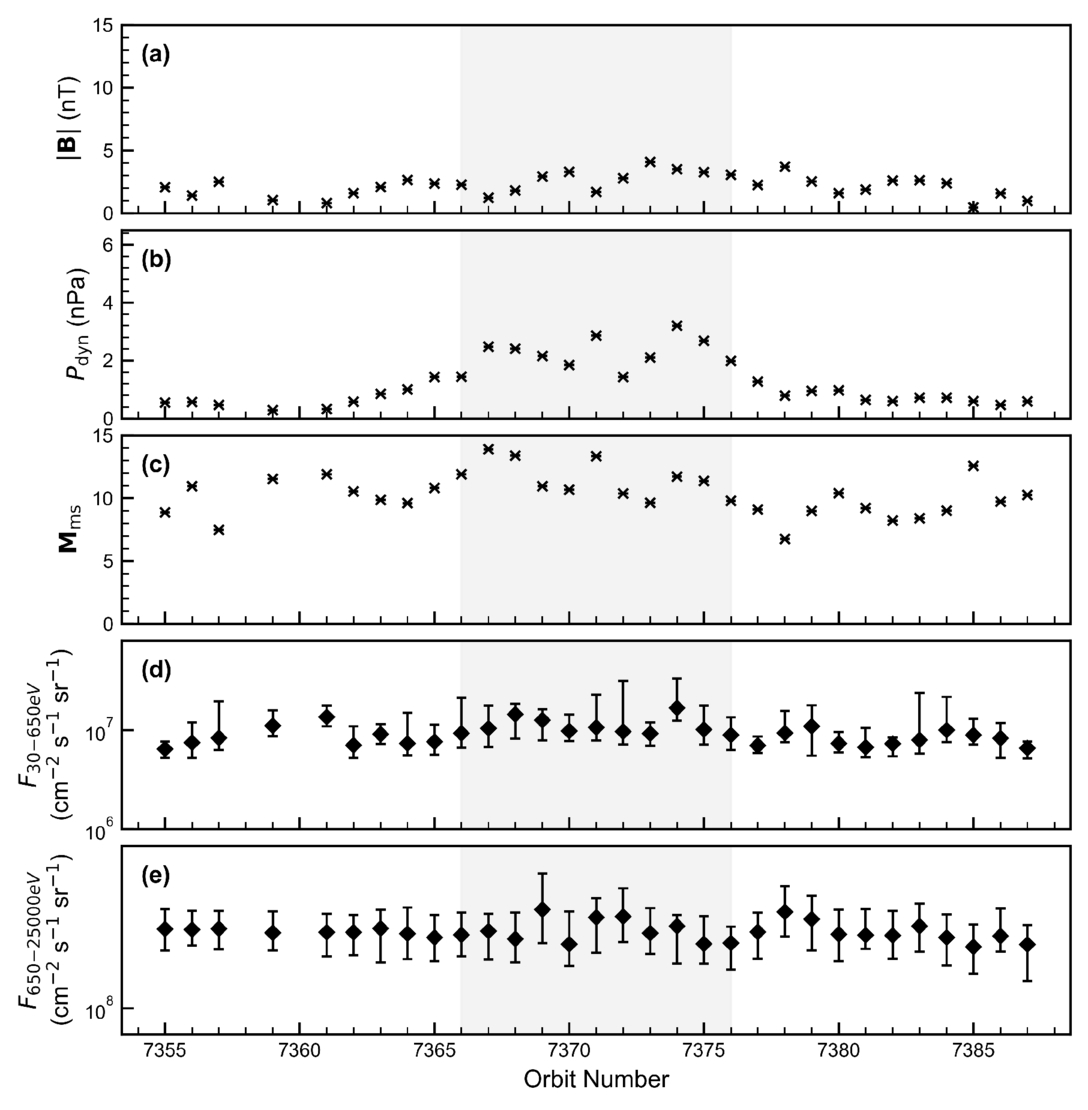
Caption: Figure 6.

Orbit-by-orbit variations of solar wind parameters and ion precipitation fluxes for CME event. The horizontal axis denotes the MAVEN orbit number. From top to bottom, the subplots display (a) the magnetic field strength, (b) solar wind dynamic pressure, (c) Alfvén Mach number, (d) low-energy ion precipitation flux (30–650 eV), and (e) high-energy ion precipitation flux (650–25,000 eV). The shaded region marks the event period.

Other Images in This Article
Copyright and Terms & Conditions

Additional terms of reuse