Image Details

Choose export citation format:

The Maximum Mass and Rotational Kinetic Energy of Rapidly Rotating Neutron Stars

  • Authors: Shao-Peng Tang, Yong-Jia Huang, Yi-Zhong Fan

Shao-Peng Tang et al 2026 The Astrophysical Journal 1000 .

  • Provider: AAS Journals

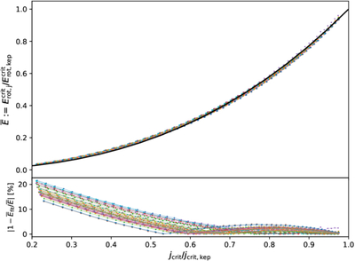
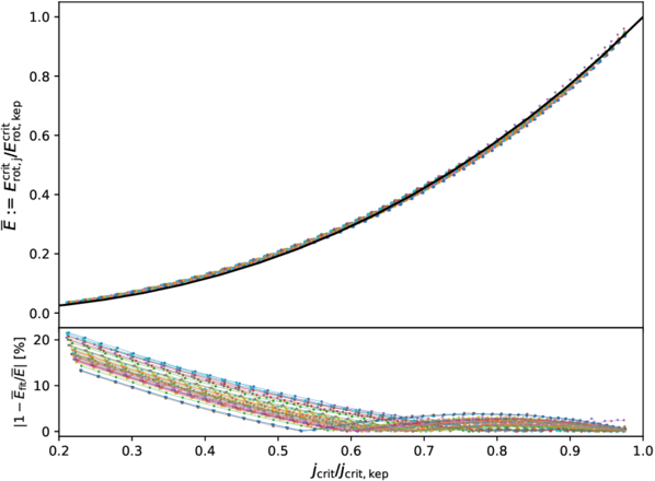
Caption: Figure 9.

Normalized critical rotational energy, ﹩\overline{E}={E}_{{\rm{rot}},{\rm{j}}}^{{\rm{crit}}}/{E}_{{\rm{rot}},{\rm{kep}}}^{{\rm{crit}}}﹩, plotted as a function of the normalized spin parameter, jcrit/jcrit,kep. Colored points in the top panel represent the rotational properties of neutron stars computed from posterior samples of our EOS ensemble, while the solid black curve shows a polynomial fit to the data. The bottom panel displays the fractional residual, ﹩| 1-{\overline{E}}_{{\rm{fit}}}/\overline{E}| ﹩.

Other Images in This Article
Copyright and Terms & Conditions

Additional terms of reuse